Soal Essay Tik Kelas 10 Semester 2 Dan Kunci Jawaban
Soal Bahasa Indonesia Kelas 8 Semester Ganjil Untuk bapak dan ibu guru data seperti kisi-kisi soal dan lembar jawaban soal PAS Penilaian Akhir Semester ini mungkin sangat berarti terutama bagi mereka yang berkasnya hilang karena lupa menyimpan atau dipinjam seseorang dan tidak dikembalikan. Soal Geografi Uas Genap Kelas Xi Dan Kunci Jawaban Lengkap Soal Essay Ips Kelas Xi Smk Semester 2 Soal Pg Pendidikan Agama.
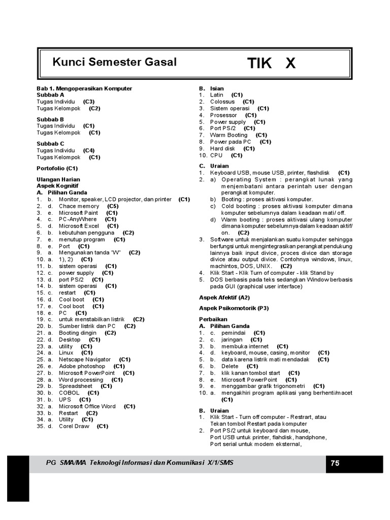
  Soal Tik Kelas 10 Semester 1 Dan Kunci Jawaban Guru Galeri  
Soal Bahasa Indonesia Kelas 8 By Guru Saputra Posted on July 14.

Soal essay tik kelas 10 semester 2 dan kunci jawaban. Soal dan kunci jawaban uas tik semester 1 kelas 10 sma ma dapat adik adik dapatkan di. Lansung saja kami memberikan contoh soal TIK kelas 10 untuk siswa SMAMASMK Sederajat semester 1 dan 2. Disini kita menggunakan soal uas tik kelas 7 semester 1 kurikulum 2013 dan juga soal uas tik kelas 7 semester 2 dan kunci jawaban Oke kita langsung saja ya masuk ke pembahasan soalnya.
Soal Tik Kelas 9 Semester 1 Beserta Kunci JawabannyaSoal essay uraian uts tik kelas 9 semester 1 dan kunci jawaban setelah di atas sudah kita baca soal pilihan ganda ujian mid semester gasal. Profile kebumen jateng indonesia i m a student in state senior high school 1 boement q tu. Contoh soal kewirausahaan kelas 10 smama dan kunci jawabannya 20192020.
20210112 Soal soal pilihan. 50 Soal UTSPTS Bahasa Inggris Kelas X Semester Genap K13 Beserta Jawaban - Soal Ujian tengah semester genap b. Soal Ekonomi Kelas 10.
Soal tik kelas 10 semester 2 dan kunci jawaban Ditulis Dedy Priyanto Senin Maret 15 2021 Tulis Komentar Soal tik kelas 10 semester 2 dan kunci jawaban - Pada kesempatan kali ini saya akan memberikan contoh soal TIK beserta jawabanya semoga dapat membantu anda pada saat belajar. Materi Teknologi Informasih Teknologi informasi TIK salah satu pelajaran yang mengenal sebua perangkat yang terdapat pada kumputer dengan demikian dapat mempermudah unutk mengoperasikan perangkat keras dan lunak. Tidak hanya itu ke depan juga akan disiapkan soal-soal PAT UKK UAS ataupun sejenisnya dengan soal fresh dan baru.
Contoh soal essay tik kelas 10 dan kunci jawaban. Soal Essay Tik Kelas 12 Semester 1 Dan Kunci. Contoh Soal Essay Penjas Kelas 10 Semester 2 2021 - Soal Penjas Essay Dan Jawaban Ilmusosial Id Rani got married 2004 jawabanContoh soal essay penjas kelas 10 semester 2Berikut soal latihan ulangan UASPAS Kelas.
Soal Teknologi Jaringan Berbasis Luas Kelas Xi. C Soal Penjas kelas 10 Semester 2. 45 Contoh Soal UAS TIK Kelas 10 SMAMA dan Kunci Jawabnya Terbaru - Adik adik yang baik hati dan jago komputer nah pada kesempatan kali ini kakak ingin berbagi lagi tentang Contoh soal latihan UAS untuk mata pelajaran TIK soal ini sudah kakak susun sebanyak 45 soal dan siap dijadikan sebagai bahan latihan dan rujukan untuk adik adik yang ingin meningkatkan daya.
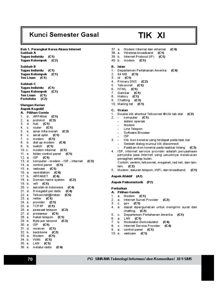
Lansung saja kami memberikan contoh soal TIK kelas 11 untuk siswa SMAMASMK Sederajat semester 1 dan 2. Semoga soal essay tik kelas 11 tentang microsoft excel ini dapat bermanfaat. Jangan lupa cek soal uts tik kelas 12 semester 1 dan.
Beberapa waktu atau hari yang akan datang setelah pelaksanaan gladi bersih UNBK siswa tahun terakhir di jenjang SMP SMA dan SMK akan diberikan kesempatan untuk mencicipi bentuk-bentuk soal Asesmen Kompetensi. Soal tik kelas xi semester 1 dan kunci jawabannya berikut ini merupakan materi teknologi. Artikel tentang Soal TIK kelas 7 tahun 2020-2021 SMPMTs soal PG dan Essay pelajaran Sistem informasi semester 1 dan semester 2.
Soal ips kelas 7 semester 2 dan kunci jawaban pilihan ganda kurikulum 2013. C Soal Penjas kelas 10 Semester 2. Selamat datang pada kesempatan kali ini.
Soal tik kelas 11 semester 2 dan kunci jawaban revisi 2021. 40 Contoh Soal PG TIK Kelas 11 SMAMA dan Kunci Jawabnya Terbaru Adik adik yang baik hati dimana saja berada pada kesempatan kali ini kakak ingin berbagi soal Tentang mata pelajaran Teknologi Informasi dan Komunikasi atau sering disingkat TIK. Soal tik kelas xi semester 2 dan kunci jawaban revisi 2021.
Artikel Contoh Soal TIK kelas 7 - Tahun 2020-2021 Tingkat SMPMTs soal PG Essay semester 1 dan semester 2 dan kunci jawaban. Soal dan Kunci Jawaban UAS TIK Semester 1 Kelas 10 SMAMA. Soal TIK Kelas 8.
Materi Teknologi Informasih Teknologi informasi dan komunikasi TIK salah satu pelajaran yang berkaitan dengan penanganan informasi karena berhubungan dengan pengumpulan penyimpanan dat dan mengenal alat alat kumputer maka. Soal tik kelas 10 semester 2 dan kunci jawaban - Pada kesempatan kali ini saya akan memberikan contoh soal TIK beserta jawabanya. Soal tik kelas 11 ini belum dilengkapi beserta kunci jawaban.
Soal essay tik kelas 12 semester 1 dan kunci jawab. Soal tik kelas 10 semester 2 dan kunci jawaban Soal pilihan ganda dan jawaban Simulasi Digital.

  Soal Essay Tik Kelas 10 Semester 2 Dan Kunci Jawaban Guru Galeri  

  Soal Tik Kelas Xii Semester 2 Dan Kunci Jawaban Guru Galeri  

  Soal Essay Uas Tik Kelas 9 Goresan  
![]()
  Soal Tik Kelas 9 Semester 1 Essay Tulisan  

  Contoh Soal Essay Bahasa Inggris Kelas 10 Beserta Jawabannya Kumpulan Soal Pelajaran 3  

  Soal Tik Kelas 10 Semester 2 Dan Kunci Jawaban Guru Galeri  

  Soal Tik Kelas 7 Semester 2 Beserta Jawabannya Jejak Guru  
  Soal Tik Kelas 8 Beserta Kunci Jawaban  

  Soal Essay Bahasa Indonesia Kelas 10 Beserta Jawabannya Semester 1  

  Lengkap 25 Contoh Soal Tik Kelas 10 Sma Ma Dan Kunci Jawabnya Terbaru Bospedia  
  Soal Esai Tik Kelas X Semester 1  

  Contoh Soal Informatika Kelas X Semester 1 Beserta Jawaban Kurikulum 2013 Essay  

  Contoh Soal Tik Kelas 9 Semester 1 2 Lengkap Kunci Jawaban  
![]()
  45 Contoh Soal Uas Tik Kelas 10 Sma Ma Dan Kunci Jawabnya  

  Soal Uts Tik Kelas 9 Semester 1 Dan Kunci Jawaban Guru Galeri  
  Soal Tik Kelas 9 Semester 2 Beserta Jawabannya Kumpulan Kunci Jawaban Buku  
  Kunci Jawaban Lks Ekcellent Tik Kelas Xi  

  Soal Uas Tik Kelas 8 Semester 2 Beserta Kunci Jawaban Pencari Jawaban  
  Soal Tik Kelas 10 Semester 1 Dan Kunci Jawaban Guru Galeri  

  Soal Essay Tik Kelas 10 Semester 2 Dan Kunci Jawaban Guru Galeri  
![]()
  Soal Uts Tik Kelas Xii Semester 1 Dan Kunci Jawaban Kumpulan Jawaban  

  Soal Essay Tik Kelas 10 Semester 2 Dan Kunci Jawaban Guru Galeri  

  Lengkap 60 Contoh Soal Uts Tik Kelas 9 Smp Mts Semester Genap Terbaru Bospedia  
![]()
  45 Contoh Soal Uas Tik Kelas 11 Sma Ma Dan Kunci Jawabnyas  
  Soal Tik Kelas 3 Sd Semester 1 Dan Kunci Jawaban Guru Galeri  

  Soal Tik Kelas 11 Sma Ma Smk Lengkap Soal Pg Essay 2021  

  Soal Uts Tik Kelas 9 Semester 1 Dan Kunci Jawaban Guru Galeri  
![]()
  Soal Essay Tik Kelas Xii Semester 1 Lukisan  

  Contoh Soal Tik Excel Dan Kunci Jawaban Guru Galeri  
  Soal Tik Kelas 10 Semester 2 Dan Kunci Jawaban Guru Galeri  

  Soal Essay Tik Kelas 10 Semester 2 Dan Kunci Jawaban Guru Galeri  
  Soal Tik Kelas Xi Semester Ganjil  
  Soal Uts Tik Kelas 10 Semester 1 Dan Kunci Jawaban Guru Galeri  
  Kunci Jawaban Lks Ekcellent Tik  
![]()
  Soal Essay Tik Kelas 8 Semester 2 Lukisan  

  Soal Pas Uas Tik Kelas 10 Sma Ma Semester 1 Tahun 2020 Andronezia  
![]()
  Soal Essay Tik Kelas 8 Beserta Jawabannya Penggambar  

  Contoh Soal Microsoft Word Beserta Jawabannya Kumpulan Soal Pelajaran 7  

  Soal Essay Tik Kelas 8 Tulisan  

  Soal Tik Kelas 3 Sd Semester 1 Dan Kunci Jawaban Guru Galeri  
  Soal Tik Kelas 1 Sd Semester 2 Dan Kunci Jawaban Guru Galeri  

  Soal Tik Kelas 9 Semester 2 Beserta Jawabannya Kumpulan Kunci Jawaban Buku  
  Soal Tik Kelas 1 Sd Semester 2 Dan Kunci Jawaban Guru Galeri  
  Soal Esai Tik Kelas X Semester 1  

  Soal Uts Tik Kelas 10 Semester 1 Dan Kunci Jawaban Guru Galeri  

  Soal Pas Tik Kelas 9 Semester 1 Tahun 2019 2020  
![]()
  Soal Desain Grafis Kelas 10 Semester 2 Beserta Jawabannya Rismax  
  Soal Dan Jawaban Tik Tentang Microsoft Word Bali Teacher  

  Soal Essay Bahasa Indonesia Kelas 10 Beserta Jawabannya Semester 1  
  Soal Tik Kelas 11 Semester 2 Dan Kunci Jawaban Guru Galeri  
  Soal Tik Kelas Xii Semester 2 Dan Kunci Jawaban Guru Galeri  
  Kumpulan Soal Tik Kelas 7 Beserta Jawaban  
  Contoh Soal Dan Materi Pelajaran 5 Contoh Soal Ujian Sekolah Tik Sma Beserta Jawabannya  
  Soal Essay Dan Jawaban Pkn Kelas 10  
  Contoh Soal Dan Materi Pelajaran 5 Contoh Soal Ujian Sekolah Tik Sma Beserta Jawabannya  
  Soal Tik Kelas 10 Semester 2 Dan Kunci Jawaban Guru Galeri  
  Soal Tik Kelas Xi Semester 1 Dan Jawaban Kol  
  Soal Tik Kelas 2 Sd Semester 1 Dan Kunci Jawaban Guru Galeri  

  Soal Essay Tik Kelas 10 Semester 2 Dan Kunci Jawaban Guru Galeri  

  Soal Tik Kelas 7 Dosenpintar Com