Contoh Soal Pilihan Ganda Tentang Proposal Beserta Jawabannya
Download Contoh 5 Soal Narrative Text Pilihan Ganda Beserta Jawabannya Smp PDF 1600 MB - SamPDF. Kumpulan Contoh Soal Pilihan Ganda Descriptive Text tentang Orang Sebagaia latihan berbagai macam contoh soal descriptive text tentang orang juga disertakan dengan jawabannya.
Contoh Soal Cerpen Pilihan Ganda beserta Jawabannya Daftar Artikel Lainnya.

Contoh soal pilihan ganda tentang proposal beserta jawabannya. Tentu saja jawaban masih perlu dilihat dengan teliti barang kali ada kekeliruan supaya bisa dibetulkan. 2 dan 3 c. Komponen komponen pendapatan nasional menurut metode pendapatan.
Contoh Soal Cause And Effect Beserta Jawabannya Belajar Pilihan ganda Soal dan Jawaban UAS Sosiologi Kelas XII Sebanyak 40. Admin dari blog contoh soal terbaru 2019 juga mengumpulkan gambar gambar lainnya terkait contoh soal pilihan ganda cause and effect dibawah ini. Admin blog Contoh Soal Terbaru 2019 juga mengumpulkan gambar-gambar lainnya terkait contoh soal notice pilihan ganda beserta jawabannya dibawah ini.
Inilah pembahasan lengkap terkait contoh soal pilihan ganda tentang proposal beserta jawabannya. Pada post kali ini kami akan berbagi soal pg pilihan ganda tentang pendapatan nasional. Soal Pilihan Ganda M.
Soal Tik Kelas 8 Beserta Kunci Jawaban. Contoh soal kali ini akan kami lengkapi juga beserta jawabannya. Jika terdapat kesalahan pada redaksi soal maupun kunci jawabannya mohon memberikan komentar pada kolom di.
Soal Pilihan Ganda Tentang Pernikahan Dalam Islam Beserta Jawabannya Contoh Soal Pilihan Ganda Tentang Toleransi Contoh Soal Terbaru Soal Agama Islam Kelas 11 Beserta Jawabannya Membuat Soal Dan Jawaban. Contoh Soal Apbn Dan Apbd Beserta Jawabannya 1. Kali ini aku ingin sharing tentang soal bahasa indonesia materi pidato proposal dan karya tulis ilmiah.
Apa yang kami bagikan disini bukan bermaksud untuk meberikan kunci jawaban soal tapi hanya bermaksud untuk di. Berikut informasi sepenuhnya tentang contoh soal notice pilihan ganda beserta jawabannya. Itulah 13 buah contoh soal matematika SMP materi memahami jenis dan sifat segi empat beserta kunci jawabannya dapat saya bagikan pada artikel kali ini.
1 berdasarkkan sifatnya perilaku menyimpang dibedakan. Admin dari blog Dapatkan Contoh 2019 juga mengumpulkan gambar-gambar lainnya terkait contoh soal pilihan ganda tentang proposal beserta jawabannya dibawah ini. 20190825 Contoh soal pilihan ganda tentang proposal beserta jawabannya.
Admin blog Berbagi Contoh Proposal 2019 juga mengumpulkan gambar-gambar lainnya terkait contoh soal pilihan ganda tentang proposal beserta jawaban dibawah ini. Ulasan tentang Contoh Soal Pilihan Ganda Tentang Proposal Beserta Jawabannya. 20161013 Contoh Soal Reported Speech Essay Beserta Jawabannya.
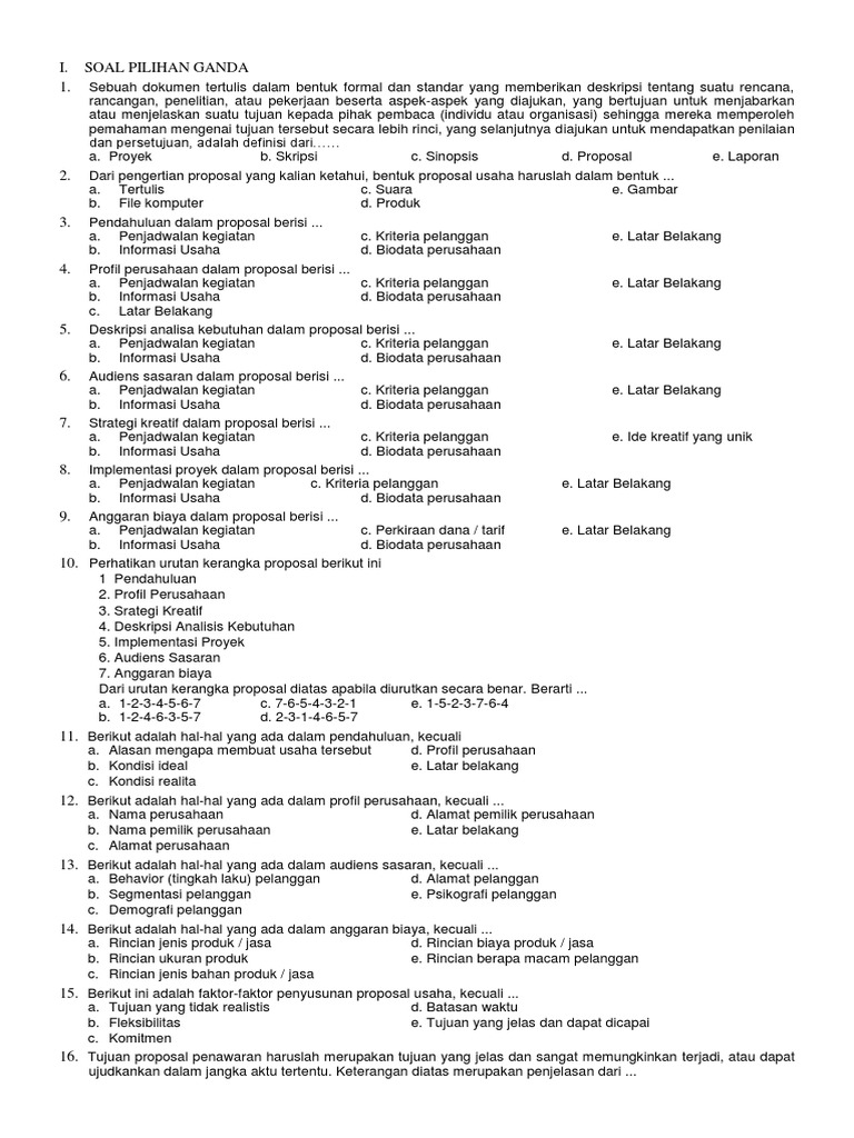
Jika Anda ingin mencari contoh soal tentang keanekaragaman budaya beserta jawabannya Anda berada di tempat yang tepat. Itulah yang dapat admin bagikan mengenai contoh soal pilihan ganda tentang proposal beserta jawaban. Contoh Soal Mempersiapkan Proposal Pilihan Ganda dan Jawaban Proposal merupakan tulisan yang dibuat oleh penulis dengan maksud untuk menjelaskan rencana dan tujuan suatu kegiatan kepada para pembaca sehingga mereka mendapatkan pemahaman tentang tujuan kegiatan tersebut secara lebih jelas dan detail.
Soal Pilihan Ganda Tik Tentang Microsoft Excel Beserta Jawabannya. Pengertian LEGENDA Menurut Para Ahli Meliputi Jenis Ciri Contohnya LENGKAP Materi Debat Beserta 30 Contoh Soal Debat Pilihan Ganda. Contoh soal akuntansi perusahaan dagang beserta jawabannya memudahkan para pemula untuk memahami tentang transaksi yang terjadi di perusahan dagang yang kegiatan utamanya menjual kembali barang.
Soal Narrative Text Pilihan Ganda Beserta Jawabannya Smp PDF dapat kamu nikmati dengan cara klik link download dibawah dengan mudah tanpa iklan yang mengganggu. Contoh Soal Song Bahasa Inggris dan Jawabannya Berikut dibawah ini contoh soal pilihan ganda bahasa inggris tentang song kelas 11 tentang song SMAMASMKMAKSederajat beserta jawaban kurtilas edisi revisi. ADVERTISEMENT Artikel kali ini akan menghadirkan 30 contoh soal tentang keanekaragaman budaya beserta jawabannya dalam bentuk pilihan ganda sehingga akan memudahkan Anda dalam mendampingi anak saat belajar.
Contoh Soal Pilihan Ganda Application Letter Beserta Jawabannya provide high quality customized writing solutions to all your assignments including essays term Contoh Soal Pilihan Ganda Application Letter Beserta Jawabannya papers research papers dissertations coursework and projects. 20200902 Contoh soal teks ulasan pilihan ganda beserta jawabannya demikianlah artikel tentang 50 contoh soal pilihan ganda tentang teks prosedur kompleks beserta jawabannya kelas 7 11 12. Contoh soal pilihan ganda tentang gambar ilustrasi beserta jawabannya analisa dan riset pasar mustafatope s weblog newest contoh soal pilihan ganda tentang gambar ilustrasi beserta jawabannya direktorat pembinaan smk v a n.
Contoh diatas bisa dijadikan sebagai contoh soal pilihan ganda because of due to dan.
Contoh Soal Pilihan Ganda Dan Jawabannya Nasi
Contoh Soal Pilihan Ganda Kumpulan Soal Pelajaran 9
Contoh Soal Pilihan Ganda Tentang Proposal Berbagi Contoh Proposal
Contoh Soal Pilihan Ganda Kumpulan Soal Pelajaran 9
Soal Pilihan Ganda Tentang Cause And Effect Carlespen

Contoh Soal Pg Kumpulan Soal Pelajaran 4

Download Latihan Soal Anak Tk B Guru Paud Di 2021 Buku Ilmu Ekonomi Dunia

Contoh Soal Pg Bahasa Indonesia K13 Kelas Xi Semester 2 Beserta Jawaban Tekape Id
Contoh Soal Reservation Pilihan Ganda Beserta Jawabannya Barisan Contoh

Contoh Soal Analisis Kasus Bisnis Pilihan Ganda Dan Jawaban Penganggaran Komunikasi Siklus Hidup

Contoh Soal Mengurutkan Kata Pilihan Ganda Dan Jawaban Urutan Kata Alfabet Pemandangan

Contoh Soal Kalimat Efektif Pilihan Ganda Dan Kunci Jawaban Abc Pendidikan Subjek
Contoh Soal Dan Jawaban Pilihan Ganda Bab Proposal Bali Teacher

Contoh Soal Ergonomi Pilihan Ganda Contoh Soal Dan Materi Pelajaran 7

Contoh Soal Apbn Dan Apbd Pilihan Ganda Dan Kunci Jawaban Sumber Daya Alam Perencanaan Penganggaran

Contoh Soal Lots Dan Hots Seputar Covid 19 Model Pilihan Ganda Halaman 1 Kompasiana Com
Soal Pilihan Ganda Laporan Keuangan
Contoh Soal Pilihan Ganda Kumpulan Soal Pelajaran 9
Contoh Soal Pilihan Ganda Valuta Asing Beserta Jawabannya Dunia Sosial

Soal Akm Pilihan Ganda Komplek Di Moodle Youtube

Contoh Soal Mempersiapkan Proposal Pilihan Ganda Dan Jawaban Proposal Penganggaran Kreatif
Soal Pilihan Ganda Bab 7 8 Dan 9 Buku Hitam11
Latihan Soal Pilihan Ganda Tentang Teks Negosiasi Lengkap Jawaban Docx

Contoh Soal Pilihan Ganda Tentang Proposal Beserta Jawabannya Contoh Soal Terbaru

Contoh Soal Novel Pilihan Ganda Dan Kunci Jawaban Novel Bahasa Bahasa Indonesia

Contoh Soal Cerpen Cerita Pendek Pilihan Ganda Dan Jawaban Cerita Pendek Cerita Gambar Karakter

Contoh Soal Kumpulan Soal Pelajaran 5

Contoh Soal Pilihan Ganda Tentang Proposal Beserta Jawabannya Dapatkan Contoh

Contoh Soal Antologi Puisi Pilihan Ganda Dan Jawaban Bahasa Kiasan Sajak Perasaan
Contoh Soal Pilihan Ganda Tentang Ceramah Beserta Jawabannya Barisan Contoh

Contoh Soal Teks Eksplanasi Pilihan Ganda Dan Kunci Jawaban Manusia Bioteknologi Gelombang
Kumpulan Soal Pilihan Ganda Dan Jawaban Masa Orde Baru Guru Galeri

Modern Flat Design Business Concepts Business Design Creative Graphics Modern Flat

Contoh Soal Teks Anekdot Pilihan Ganda Dan Jawaban Teks Lucu Ide
![]()
Soal Dan Jawaban Kesehatan Reproduksi Bali Teacher

I Soal Pilihan Ganda Petunjuk Pilih Salah Satu Jawaban Yang Benar

Contoh Soal Pilihan Ganda Jurnal Umum Dan Jawabannya Cute766
Contoh Soal Too And Enough Pilihan Ganda Dan Jawabannya Barisan Contoh

Contoh Soal Drama Pilihan Ganda Dan Kunci Jawaban Seni Gambar Bergerak Drama

Pilihan Ganda Mengapa Dipilih Republika Online

Contoh Soal Media Promosi Pilihan Ganda Dan Jawaban Gambar Bergerak Bahasa Indonesia Media Elektronik
Soal Pilihan Ganda Dan Jawaban Interaksi Manusia Dan Komputer Sistem Komputer
Contoh Soal Pilihan Ganda Tentang Proposal Beserta Cute766
Contoh Soal Novel Pilihan Ganda Beserta Jawabannya Barisan Contoh

17 Contoh Soal Yang Baik Dan Benar Kumpulan Contoh Soal

Contoh Soal Pilihan Ganda Tentang Proposal Beserta Jawabannya Contoh Soal Terbaru
Contoh Soal Pilihan Ganda Kumpulan Soal Pelajaran 9

Soal Pilihan Ganda Kelas 11 Offering Help Beserta Jawabannya Belajar Science Pendidikan
Contoh Pembuatan Soal Pilihan Ganda

Contoh Soal Berpikir Sejarah Pilihan Ganda Dan Jawaban Buku Sejarah Ilmu Sosial Sejarah

Contoh Soal Pidato Pilihan Ganda Dan Kunci Jawaban Bahasa Indonesia Teman Smp
![]()
Contoh Soal Pilihan Ganda Kumpulan Soal Pelajaran 9
![]()
12 Contoh Soal Peluang Usaha Dan Jawabannya Kumpulan Contoh Soal
Contoh Soal Novel Pilihan Ganda Beserta Jawabannya Barisan Contoh
Contoh Soal Dan Jawaban Pilihan Ganda Bab Proposal Bali Teacher

