Kliping Ips Kelas 8 Semester 2
Kliping Ipa Kelas 8 Nov 05 2020 Makalah ipa KLIPING IPA Rangka Manusia Makalah Ipa Smp Kelas Viii Tugas Kliping Ciri Ciri Khusus Pada Tumbuhan Disusun oleh DOC MAKALAH PENYAKIT DAN KELAINAN PADA SISTEM PEREDARAN DARAH. Salah satu agenda rutin yang penting setelah menjalani kegiatan belajar selama satu semester tahap berikutnya yang harus ditempuh oleh adik-adik pelajar Kelas 7 8 9 SMPMTs adalah menghadapi Penilaian Akhir Semester 2 Genap PAS-2.

Download Rpp Pjj Ips Kelas 8 Smp Laman Guru Berbagi Kemdikbud
Keragaman Informasi dalam.

Kliping ips kelas 8 semester 2. Oleh karena itu saya ingin membagikan Contoh Soal IPS Kelas 8. Bahasa Indonesia PPKn dan IPS. Soal ips kelas 8 semester 2 dan kunci jawaban ada beberapa kompetensi dasar atau mungkin lebih mudahnya kita sebut dengan sebutan kisi kisi soal ips kelas 8 antara lain.
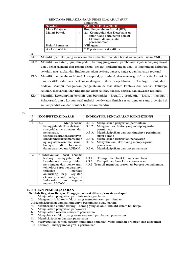
RENCANA PELAKSANAAN PEMBELAJARAN RPP Sekolah. Soal Latihan UASPAS IPS SMPMTS Kelas 8 Semester 2 ini sebagai bahan. BS IPS KELAS 8_2017pdf - Google Drive.
Perangkat pembelajaran wajib dimiliki oleh guru karena mengajar tanpa menggunakan perangkat pembelajaran mengakibatkan guru tidak memiliki arah dan pedoman. Pilihlah jawaban yang Anda anggap paling benar dengan memberi tanda silang x. RPP LURING IPS kelas 8 SEMESTER 2 SMPMTs yang sebelumnya RPP 1 lembar Luring K13 Revisi Terbaru Sesuai SE No 14 th 2019 serta dapat di Download oleh guru di WWWGURUYESCOM.
Mata Pelajaran IPS menjadi mata pelajaran yang akan diujikan pada para siswa. Lingkungan Sahabat Kita Subtema 2. Literasi Buku Fiksi Dan Nonfiksi Materi Bahasa Indonesia Kelas 8 Semester 2 Bab IX April 23 2021 LITERASI BUKU FIKSI DAN NONFIKSI A.
Modul IPS Kelas VIII Semester 2 ini merupakan tugas Akhir Mata Kuliah Media dan Sumber Belajar IPS dengan Tema. Perubahan Lingkungan Pembelajaran ke-. SOAL UTS PTS PKn Kelas 8 SMP Semester 2 dan Kunci Jawaban Soal Pilihan Ganda Essay.
Contoh Soal Ips Kelas 8 Semester 2 Kurikulum 2013 Pada pembahasan kali ini saya akan memberikan beberapa Contoh Soal dari mata pelajaran Ips Kelas 8 Semester 2 beserta dengan jawabannya. Rpp ips 8 daring rpp ips 8 1 lembar rpp ips. Menggali Informasi dalam Buku Fiksi dan Nonfiksi 1.
SD Negeri Kowel 3 Kelas Semester. Tentunya file RPP ini tidak lah sempurna maka olehnya itu bagi anda. V2 dua Tema 8.
Pernyataan yang paling tepat yang mengakibatkan munculnya aktivitas perdagangan adalah A. Berikut Soal PAT IPS SMP Kelas 8 Kurikulum 2013 Tahun Pelajaran 20182019. Soal ips kelas 8 by guru saputra posted on july 18 2020 artikel materi tentang soal ips kelas 8 tahun 2020 2021 smp mts lengkap pg dan essay kurikulum 2020 pelajaran ips untuk semester 1 dan 2.
Perubahan dan Kesinambungan Ruang Geografi Ekonomi Politik Pendidikan Sosial dan Budaya. Jawaban Ips Kelas 8 Halaman 210 Kurikulum 2013 Semester 2 Tolong Blog Pendidikan Contoh Kliping Ips Materi Ips Kelas 8 Kurikulum 2013 Revisi 2017 Doc Makalah Ips Kelas 7 Tahun 2013 Damanhuri Alwi Academia Edu. Dibuat sesuai edaran Kemendikbud no.
Rangkuman Materi IPA Kelas 8 Bab 1 - Portal Edukasi Contoh Kliping Ips Blog Pendidikan makalah IPA Kliping Ips Kelas 7 -. RPP DARING IPS KELAS 8 SEMESTER 2 ini berisi pedoman mengajar bagi guru IPS SMPMTS. Istilah Ujian Kenaikan Kelas UKK yang dulunya dinamakan Ujian Akhir Semester Genap UAS-2 ini perlu dipersiapkan secara matang untuk.
Membuat kliping Buku Guru Kelas V Semester II Revisi Tahun 2017 Tema 8 Membuat peta pikiran tentang usaha ekonomi yang dikelola kelompok Membuat kliping Mengidentifikasi dan menuliskan peristiwa-peristiwa pada bacaan Praktik memeragakan gerak tari dengan pola lantai dengan iringan. File RPP 1 lembar Bahasa inggris kelas 8 semester 2 yang akan saya bagikan ini kiranya bisa menjadi pelengkap dari perangkat pembelajaran anda di sekolah. Pilihlah jawaban yang paling tepat.
RPP berisi tiga komponen yaitu tujuan pembelajaran kegiatan pembelajaran dan penilaian. 14 tahun 2019 dan disesuaikan dengan kebutuhan di masa Pandemi ini. Soal PTS IPS ini sudah disesuaikan dengan kisi-kisi dan kurikulum terbaru dan dapat di dowload.
Soal PTS IPS SMK Kelas 11 Semester 2 genap Plus Kunci Jawaban Ditulis Ralabuma Mania Sabtu 09 Juni 2018 Tulis Komentar Edit Contoh soal latihan ulangan Penilaian Tengah Semester 2 mata pelajaran IPS untuk tingkat SMK kelas 11 pada semester genap yang telah dilengkapi dengan kunci jawaban pembahasan sebagai persiapan menghadapi UTSPTS. Contoh soal latihan ulangan mata pelajaran IPS untuk menghadapi PTSUTS Semester 1 tingkat SMP kelas 8 lengkap dengan kunci jawaban.

Jawaban Ips Kelas 8 Halaman 210 Kurikulum 2013 Semester 2 Tolong Dijawab Yha Kak Plies Besok Harus Brainly Co Id

Contoh Soal Ips Kelas 8 Semester 2 Kurikulum 2013

Rangkuman Materi Ips Kelas 7 Semester 2 Bab 3 Aktivitas Manusia Dalam Memenuhi Kebutuhan Didno76 Com

Rangkuman Materi Pelajaran Ips Kelas 6 Sd Mi Semester 1 2

Materi Pelajaran Bahasa Lampung Kelas 8 Semester 2 Download File Guru

Job Invitation Letter Template Free Pdf Google Docs Word Apple Pages Template Net Letter Template Word Personal Reference Letter Professional Reference Letter

Rpp Bahasa Inggris Kelas Xi Semester 1 Formal Invitation K 13 Bahasa Inggris Bahasa Inggris

Rangkuman Materi Pelajaran Ips Smp Kelas 8 Kurikulum 2013 Jagoan Sekolah

Contoh Rpp Daring Ips Kelas 9 Semester 1 Dan 2 Info Pendidikan Terbaru

Contoh Instrumen Ph 2 Ips Kelas 8 Semester Ganjil

Aktivitas Kelompok Kelas 9 Halaman 180 Semester 2tlong Di Jwb Yaatrims Brainly Co Id

Rpp Ips Kelas 7 Semester 2 Smp Mts K13 2021 Situs Pendidikan Masa Kini Patih Akbar

Ips Kelas 8 Semester 2 Aktivitas Kelompok Hal 205 Brainly Co Id
Lks Bahasa Indonesia Smp Mts Kelas Viii 8 Semester 2 2020 2021 Mm Shopee Indonesia

Rangkuman Materi Pelajaran Ips Smp Mts Kelas 8 Semester 1 2

Ringkasan Materi Ppkn Kelas 8 Bab 6 Memperkuat Komitmen Kebangsaan Cecepgaos Com
Rangkuman Materi Ips Kelas 9 Semester Ganjil Dan Genap Kurikulum 2013 Edisi Revisi 2018 Ruang Guru

Rpp Ips Smp Kelas 7 Semester 2 Kurikulum 2013 Berkas Edukasi

Ipa Kelas 8 Sem 2 Bab 7 Tekanan Zat Dan Penerapanya Dalam Kehidupan Sehari Hari Bse K13 Rev 2017 Youtube

Can I Have Around Town And Items For Sale English Speaking Pract English Speaking Practice English Phrases Real English Conversation

Materi Pelajaran Ips Kelas 6 Semester 1 2 Lengkap

Materi Ips Smp Mts Kelas 8 Semester Ganjil Kurikulum 2013 Didno76 Com

Kunci Jawaban Lks Ips Kelas 7 Semester 2 Guru Galeri
Materi Ips Terpadu Kelas 8 Semester 1 2 Terbaru Kherysuryawan Id
![]()
Buku Siswa Ips Kelas Viii Smp Kurikulum 2013

1sma Ali Maksummakalaholahragatolak Pelurudisusun Oleh 1 Achmad Khoiron Farchanuddin 01 2 M Arif Saifulloh 06 Words Gaming Logos Logos

Kumpulan Rpp 1 Lembar Ips Smp Mts Kelas 9 Semester Genap

Aktivitas Individu Kelas 8 Halaman 257 Plisss Tolong Dijawab Yaa Brainly Co Id

Ips Kelas 8 Semester 2 Aktivitas Kelompok Hal 205 Brainly Co Id

Soal Ips Kelas 6 Semester 1 Tema3 Pdf Google Drive Belajar Komunikasi Kepala Sekolah

Rangkuman Materi Ips Smp Kelas Viii Bab 4 Yudhantaragi

Lkpd Dinamika Kependudukan Indonesia Ips Kelas 7

Rangkuman Materi Ips Kelas 4 Sd Mi Semester 1 2 Lengkap

Aktivitas Individu Ips Kelas 8 Halaman 93 Semester 1 Brainly Co Id

Rangkuman Materi Ipa Smp Kelas 8 Semester Genap
Ips Kls 8 Bab 4 Perkembangan Kolonialisme Dan Imperialisme Barat

Tolong Bantu Tugas Ips Hal 127 131 Kelas 8 Brainly Co Id
![]()
Contoh Rpp Kelas 5 Sd Semester 2 Kurikulum 2013 Tema 8 Lingkungan Sahabat Kita Rar

Microsoft Office 2016 Free Download For Windows 10 7 8 8 1 64 Bit 32 Bit

Rpp Dan Silabus Ips Kelas 8 Semester Genap Didno76 Com

Rpp Dan Silabus Ips Smp Kelas 8 Semester Genap Didno76 Com
Https Encrypted Tbn0 Gstatic Com Images Q Tbn And9gcrdhuicfdjbvehj Vngcq3f33hbhgf3vq4 Pjb Ugy Usqp Cau

Ringkasan Materi Ppkn Kelas 8 Bab 5 Sumpah Pemuda Dalam Bingkai Bhinneka Tunggal Ika Cecepgaos Com
Modul Ips Kelas Vii Lengkap Dari Geografi Hingga Sejarah Direktorat Smp

Perangkat Pembelajaran Ips Smp Kelas 8 Kurikulum 2013 Semester Ganjil Rpp Terbaru Mgmp Ips Indramayu
Materi Ips Kelas 8 Semester 2 Tingkat Smp Mts Kurikulum 2013 Revisi 2018 Dunia Pendidikan

Penguatan Ekonomi Maritim Dan Agrikultur Di Indonesia Materi Ips Terpadu Smp Kelas 8 Halaman 166 S D 180

Kumpulan Soal Online Smp Mts Kelas 8 Semester 2 Halaman All Kompasiana Com

Ringkasan Materi Ppkn Kelas 8 Bab 6 Memperkuat Komitmen Kebangsaan Cecepgaos Com

Kisikisi Pas Bahasa Sunda Kelas 1 Semester 2 Fasrbrick
Rpp Ips Kelas 7 Semester 2 Kurikulum 2013 Revisi 2018 1

Materi Prakarya Kelas 8 Kurikulum 2013 Semester 2 Revisi 2017

