Contoh Soal Essay Gelombang Elektromagnetik
Sebutkan pembagian kelompok dari gelombang radio. Jika gelombang tersebut memiliki panjang gelombang 10 nm tentukan frekuensi gelombang tersebut.

25 Contoh Soal Sinar X Kumpulan Contoh Soal
Cepat rambat sinar inframerah adalah.
Contoh soal essay gelombang elektromagnetik. By Hasbi Mutsani Posted on August 2 2019. Kecepatan gelombang elektromagnet di ruang hampa dirumuskan sebagai berikut. Gelombang elektromagnetik memiliki kelajuan 3 108 ms.
μ₀ permeabilitas magnet diruang hampa 126 X 10⁶ weber. Gelombang Elektromagnetik. Jadi energi yang terkandung dalam sinar tersebut adalah 15 10 -18 J.
Sebutkan spektrum gelombang elektromagnetik dari frekuensi besar ke frekuensi yang kecil. Pengertian Gelombang Elektromagnetik dan Contoh Soal Teori gelombang elektromagnetik pertama kali dikemukakan oleh James Clerk Maxwell 18311879. Banyaknya garis tiap cm kisi tersebut adalah.
Contoh soal gelombang elektromagnetik. Spektrum orde kedua membuat sudut 30 dengan garis normal pada kisi. Sinar gamma sinar ungu inframerah ultra ungu B.
Berikut 10 soal dan pembahasan gelombang elektromagnetik bagian 2 yang dapat dipelajari sebelum ujian. V kecepatan gelombang. Untuk pembahasan kali ini kami akan mengulas mengenai Gelombang Elektromagnetik yang dimana dalam hal ini meliputi pengertian spektrum sifat dan manfaat untuk lebih memahami dan mengerti simak ulasan dibawah ini.
DyL nλ. Panjang gelombang tampak nervariasi tergantung warnanya mulai dari panjang gelombang kira kira 4. 10 Soal Pembahasan Gelombang Elektromagnetik bagian 1 ǀ Pilihan Ganda.
Gelombang Elektromagnetik Oleh dosenpendidikan Diposting pada 07122020 Untuk pembahasan kali ini kami akan mengulas mengenai Gelombang Elektromagnetik yang dimana dalam hal ini meliputi pengertian spektrum sifat dan manfaat untuk lebih memahami dan mengerti simak ulasan dibawah ini. Soal dan Pembahasan Bab 9 Gelombang Elektromagnetik Fisika SMA 1. Sebutkan spektum cahaya tampak dari panjang gelombang terbesar ke yang terkecil.
Rumus Pengertian Sifat Manfaat Spektrum Dan Contoh Soalnya Lengkap. V 1 μ₀ε₀. Cahaya monokromatis dengan panjang gelombang 500 nm datang tegak lurus pada kisi.
Dengan penggunaan gelombang elektromagnetik informasi dapat segera disebarluaskan. Soal dan Penyelesaian Fisika SMA - - SOAL GELOMBANG ELEKTROMAGNETIK- Jika diurut dari frekuensi terbesar hingga frekuensi terkecil yaitu. SOAL DAN PENYELESAIAN GELOMBANG ELEKTROMAGNETIK.
3 Gelombang elektromagnetik memiliki kelajuan 3 108 ms. Soal Dan Penyelesaian Fisika - SPEKTRUM GELOMBANG ELEKTROMAGNETIK. Beberapa contoh soal berikut dapat membantu kamu dalam belajar mengenai konsep gelombang elektromagnetik.
Sinar gamma ultra ungu infra merah sinar x C. ε₀ permitivitas listrik diruang hampa 885 X 10-¹² coulomb. SOAL LATIHAN GELOMBANG ELEKTROMAGNETIK.
Lebih besar dari sinar X. Pilihlah jawaban yang tepat dari pilihan di bawah ini. Sebutkan manfaat gelombang mikro.
λ dy nL 3 x 10-4 x 3 x 10-3 2 x 12 375 107 m. Keluhan nyeri di bagian kepala telinga tenggorokan dan beberapa bagian tubuh lain bila berada dekat dengan peralatan elektronik atau menara pemancar. Mudah-mudahan saja contoh soal Essay dan jawaban Gelombang Elektromagnetik dan Pembahasannya ini memberikan manfaat yang banyak.
Contoh soal 14 Urutan gelombang elektromagnetik mulai dari frekuensi kecil ke frekuensi besar adalah A. Jelaskan sifat gelombang elektromagnetik. Cepat rambat gelombang elektromagnetik sebesar 3 108 ms.
Hipotesis yang dikemukakan oleh Maxwell mengacu pada tiga aturan dasar listrik-magnet berikut ini. Sistem komunikasi radio televisi telepon genggam satelit dan radar merupakan beberapa contoh penggunaan gelombang elektromagnetik. Gelombang elektromagnetik memiliki sifat sebagai berikut.
Sebutkan sifat-sifat dari gelombang elektromagnetik. 1 Apa yang dimaksud dengan Gelombang elektromagnetik. Sinar gamma sinar-X sinar ultraviolet sinar tampak cahaya sinar inframerah gelombang mikro radar gelombang televisi dan gelombang radio.

Gelombang Elektromagnetik Jenis Contoh Rumus Dan Contoh Soal Materiipa Com

Rumus Frekuensi Gelombang Elektromagnetik Contoh Soal

Contoh Soal Gelombang Elektromagnetik Beserta Pembahasan Kita

Kumpulan Rumus Dan Rangkuman Gelombang Elektromagnetik Contoh Soal Dan Contoh Pidato Lengkap

Soal Gelombang Elektromagnetik Dan Pembahasan Sekali

Gelombang Elektromagnetik Spektrum Sifat Manfaat Contoh

17 Contoh Soal Radiasi Elektromagnetik Kumpulan Contoh Soal

Kumpulan Ilmu Dan Pengetahuan Penting Contoh Soal Fisika Bab Gelombang Mekanik

Kisi Kisi Soal Hots Gelombang Elektromagnetik
![]()
Contoh Soal Fisika Bab Gelombang Cahaya
![]()
Kisi Kisi Soal Hots Gelombang Elektromagnetik

Kisi Kisi Soal Hots Gelombang Elektromagnetik

Gelombang Elektromagnetik Spektrum Sifat Manfaat Contoh

Gelombang Cahaya Contoh Soal Pembahasan

Kisi Kisi Soal Hots Fisika Docx

Soal Gelombang Elektromagnetik Jawaban Dan Pembahasan Fiqihislam

Gelombang Elektromagnetik Spektrum Sifat Manfaat Contoh

Gelombang Elektromagnetik Spektrum Sifat Manfaat Contoh

Contoh Soal Essay Gelombang Elektromagnetik Lukisan

14 Contoh Soal Un Gelombang Berjalan Dan Gelombang Stasioner Kumpulan Contoh Soal

Gelombang Elektromagnetik Contoh Soal Pembahasan

Pembahasan Soal Gelombang Un Fisika Smp

Soal Getaran Dan Gelombang Smp Guru Galeri
Contoh Soal Essay Gelombang Elektromagnetik Lukisan
Contoh Soal Fisika Bab Gelombang Cahaya

Gelombang Elektromagnetik Spektrum Sifat Jenis Rumus Contoh
Materi Gelombang Periodik Contoh Soal Jawabanku Id

Contoh Soal Radiasi Elektromagnetik Dan Sumber Radiasi Elektromagnrtik Brainly Co Id
Soal Essay Gelombang Elektromagnetik Dan Pembahasannya Apipah Com

Soal Hots Gelombang Elektromagnetik All Desain

Bab 6 Radiasi Elektromagnetik Fisika Kelas Xii Erlangga Kurtilas Solusiwiki

Soal Essay Tentang Gelombang Bunyi Penggambar

Contoh Soal Essay Gelombang Elektromagnetik Lukisan
![]()
Soal Hots Gelombang Elektromagnetik All Desain

Kisi Kisi Soal Hots Gelombang Elektromagnetik

13243227 Materi Smp Kelas 8 Bab V Getaran Dan Gelombang
Rpp Kd 3 6 Gelombang Elektromagnetik

Gelombang Elektromagnetik Spektrum Sifat Manfaat Contoh

Gelombang Elektromagnetik Spektrum Sifat Jenis Rumus Contoh

Rumus Frekuensi Gelombang Elektromagnetik Contoh Soal

Contoh Soal Essay Gelombang Elektromagnetik Lukisan

17 Contoh Soal Radiasi Elektromagnetik Kumpulan Contoh Soal
Contoh Soal Essay Gelombang Elektromagnetik Lukisan

Contoh Soal Essay Gelombang Elektromagnetik Lukisan
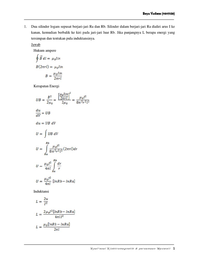
Soal Soal Elektromagnetik Persamaan Maxwell

Contoh Soal Essay Gelombang Elektromagnetik Lukisan

Soal Gelombang Elektromagnetik Jawaban Dan Pembahasan Fiqihislam

Gelombang Mekanik Dan Contoh Soal

Materi Gelombang Jenis Karakter Sifat Dan Contoh Soal Tambah Pinter

Contoh Soal Gelombang Elektromagnetik Beserta Pembahasan Kita
Soal Dan Pembahasan Gelombang Cahaya

Gelombang Elektromagnetik Gelombang Elektromagnetik Pdf Free Download

17 Contoh Soal Radiasi Elektromagnetik Kumpulan Contoh Soal

Gelombang Elektromagnetik Contoh Soal Pembahasan

Contoh Soal Essay Gelombang Elektromagnetik Lukisan

Soal Essay Gelombang Elektromagnetik Dan Pembahasannya Apipah Com
Fisika Latihan Soal Gelombang Elektromagnetik

